
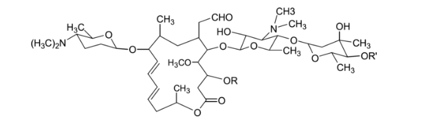
本成份是由采用基因重组技术开发的国家一类新药。
化学结构式: 
本品适应于敏感细菌引起的成人下列轻、中度社区获得性感染的治疗:1、急性气管-支气管炎:流感嗜血杆菌、肺炎链球菌引起的急性气管-支气管炎;2、急性鼻窦炎:由肺炎链球菌、流感嗜血杆菌、化脓性链球菌、卡他莫拉菌以及葡萄球菌引起的急性鼻窦炎。需要说明的是,给药前应进行细菌培养和药敏试验以查明致病菌及其对可利霉素的敏感性。采集标本后即可以开始使用可利霉素治疗,在获知药敏结果后再作相应的调整。为减少耐药菌的产生以及维持可利霉素和其他抗菌药物的效果,可利霉素应只用于治疗由敏感菌引起或高度怀疑敏感菌引起的轻、中度社区获得性感染。如果获得了培养和药敏资料,选择或调整抗菌药物治疗时应予以考虑。如果没有这些数据,当地的流行病学和药物敏感数据可帮助选择经验性治疗。
0.2g(20万单位)
依据现有研究数据,推荐的成人用法用量如下:急性气管-支气管炎:口服,饭后服用。成人第1天一次0.4g顿服,第2〜7天每天一次0.2g顿服。急性鼻窦炎:口服,饭后服用。成人第1天一次0.4g顿服,第2〜7天每天一次0.2g顿服。
可利霉素是一种治疗细菌感染的大环内酯类抗生素.除对耐药的革兰阳性菌(如耐甲氧西林金黄色葡萄球菌和耐药的化脓性链球菌)等有效外,可利霉素对一些产β-内酰胺酶的细菌也有很好的疗效,对部分革兰阴性菌(如艰难梭菌、流感杆菌)以及真菌类的白色念珠菌也有较好的活性。此外,可利霉素在抗结核分枝杆菌感染中的应用已获得国内专利授权。可利霉素具有毒性低、剂量小、服药次数少和服用方便等优点,是在适应证范围内患者追求安全、有效药物的首选。
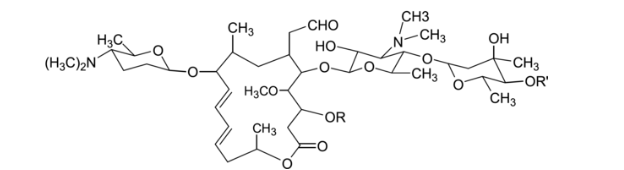
本成份是由采用基因重组技术开发的国家一类新药。
化学结构式: 
本品适应于敏感细菌引起的成人下列轻、中度社区获得性感染的治疗:1、急性气管-支气管炎:流感嗜血杆菌、肺炎链球菌引起的急性气管-支气管炎;2、急性鼻窦炎:由肺炎链球菌、流感嗜血杆菌、化脓性链球菌、卡他莫拉菌以及葡萄球菌引起的急性鼻窦炎。需要说明的是,给药前应进行细菌培养和药敏试验以查明致病菌及其对可利霉素的敏感性。采集标本后即可以开始使用可利霉素治疗,在获知药敏结果后再作相应的调整。为减少耐药菌的产生以及维持可利霉素和其他抗菌药物的效果,可利霉素应只用于治疗由敏感菌引起或高度怀疑敏感菌引起的轻、中度社区获得性感染。如果获得了培养和药敏资料,选择或调整抗菌药物治疗时应予以考虑。如果没有这些数据,当地的流行病学和药物敏感数据可帮助选择经验性治疗。
0.2g(20万单位)
依据现有研究数据,推荐的成人用法用量如下:急性气管-支气管炎:口服,饭后服用。成人第1天一次0.4g顿服,第2〜7天每天一次0.2g顿服。急性鼻窦炎:口服,饭后服用。成人第1天一次0.4g顿服,第2〜7天每天一次0.2g顿服。
可利霉素是一种治疗细菌感染的大环内酯类抗生素.除对耐药的革兰阳性菌(如耐甲氧西林金黄色葡萄球菌和耐药的化脓性链球菌)等有效外,可利霉素对一些产β-内酰胺酶的细菌也有很好的疗效,对部分革兰阴性菌(如艰难梭菌、流感杆菌)以及真菌类的白色念珠菌也有较好的活性。此外,可利霉素在抗结核分枝杆菌感染中的应用已获得国内专利授权。可利霉素具有毒性低、剂量小、服药次数少和服用方便等优点,是在适应证范围内患者追求安全、有效药物的首选。


【雪诺同】黄体酮阴道缓释凝胶 价格¥1160.00 购买药店北京美信康年大药房 适应
【海正美能】注射用盐酸万古霉素0.5g*10瓶 价格¥655.00元/盒 购买药店北京美信康
【天解】注射用替加环素价格¥160.00,购买药店 北京美信康年大药房,使用说明
【菲康宁】利奈唑胺片 价格¥196.00,购买药店 北京美信康年大药房,使用说明
【海正力星】注射用替加环素 价格¥460.00,购买药店 北京美信康年大药房,使
【赛特嘉】注射用替加环素价格¥160.00,购买药店 北京美信康年大药房, 使用
【泽坦】注射用替加环素价格¥560.00,购买药店 北京美信康年大药房,使用说明
【罗氏芬】注射用头孢曲松钠价格¥56.50,购买药店北京美信康年大药房,使用
|
产品名称 雪诺同 通用名:黄体酮阴道缓释凝胶 剂型:阴道缓释凝胶/盒 规格:8%(90mg)*15支 零售价:1160.00元 会员价:1150.00元 生产企业:英国DENDRON BRANDS LIMITED |
产品名称 海正美能 通用名:注射用盐酸万古霉素 剂型:注射剂/盒 规格:0.5g(50万单位)*10瓶 零售价:655.00元 会员价:650.00元 生产企业:浙江海正药业股份有限公司 |
产品名称 天解 通用名:注射用替加环素 剂型:注射剂/瓶 规格:50mg 零售价:160.00元 会员价:150.00元 生产企业:正大天晴药业 |
友情链接